01 【研究背景】
随着掺杂水平的微小变化,性能的显著变化是控制氧化铜超导性的复杂化学的一个标志,如著名的超导穹顶和在精确成分下发生的量子临界性。电阻率随温度线性变化的奇异金属态已成为氧化铜超导体正常态的中心特征。这种行为的普遍存在,这表明散射机制和超导性之间有着密切的联系。然而,对这种相关性缺乏清晰的定量描述。
02 【成果简介】
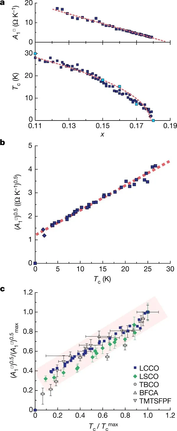
近日,中国科学院物理所赵忠贤院士团队与美国马里兰大学Ichiro Takeuchi教授联合报道了电子掺杂氧化铜La2-xCexCuO4(LCCO)中超导转变温度(Tc)、T内线性散射系数(A1)和掺杂水平(x)之间精确定量标度的观察结果。外延成分扩散薄膜的高分辨表征,涵盖了LCCO的整个超掺杂范围,确保能够以前所未有的精度和增量Δx?=?0.0015系统地绘制其结构和传输特性。研究人员揭示了Tc ~ (xc – x)0.5 ~ (A1□)0.5之间的关系,其中xc是超导性消失的临界掺杂值,A1□是每个CuO2平面的线性电阻率系数。铜氧化物、铁基和有机超导体之间Tc和A1的惊人相似性表明可能是这些系统中奇异金属行为和非常规超导电性的共同机制。该文章近日以题为“Scaling of the strange-metal scattering in unconventional superconductors”发表在知名顶刊Nature上,中科院物理所金魁研究员、胡江平研究员和美国马里兰大学的Ichiro Takeuchi教授为通讯作者。

03 【图文导读】
图一、LCCO的组合合成及多尺度结构表征

图二、电输运特性的微区域表征

图三、非常规超导体的定量标度

文献链接:Scaling of the strange-metal scattering in unconventional superconductors (Nature 2021, 602, 431-436)
免责声明:本网站所转载的文字、图片与视频资料版权归原创作者所有,如果涉及侵权,请第一时间联系本网删除。
官方微信
《中国腐蚀与防护网电子期刊》征订启事
- 投稿联系:编辑部
- 电话:010-62316606-806
- 邮箱:fsfhzy666@163.com
- 中国腐蚀与防护网官方QQ群:140808414



