导读:晶粒细化到纳米级可以极大地硬化金属和合金,但会降低其稳定性。本文通过在非常高的应变速率下进行低温塑性变形,发现当晶粒尺寸低于临界尺寸时,由GBs中位错,可以在 Al-5Mg合金中产生了高比例的松弛晶界(GBs)。平均晶粒尺寸为31nm的纳米结构Al-5Mg合金具有2.67 GPa的高硬度和比亚微米晶粒高约95 K的晶粒粗化温度。此外,在一些松弛晶界处观察到Mg消耗而没有偏析。松弛晶界在稳定纳米结构Al-Mg合金方面效果较好。它为开发稳定的纳米结构合金提供了一种新方法。
晶粒细化到纳米尺度可以显著增强金属材料的强度如经典的Hall-Petch关系所描述。然而,引入高密度晶界(GBs)提供巨大的迁移驱动力,并导致晶粒粗化。例如,纯铝和纯铜的纳米颗粒可能即使在环境温度下也会粗化。纳米晶体(NC)材料稳定性差的特点极大地限制了其技术应用和进一步晶粒细化。
多晶中的晶粒粗化率取决于GB迁移率和驱动力,主要受晶粒尺寸、GB结构和晶粒所具有的能量控制。为使NC材料更加稳定,目前已经提出了几种策略如通过降低GB迁移率和减少GB驱动力来降低晶粒生长速率。通过固定不同的边界,可以抑制GB运动,如溶质拖动、第二相拖动、化学排序。在一项研究中发现超细晶粒 Al-Fe 合金,纳米级颗粒分散在基体中,由于纳米级金属间化合物相互作用,有效抑制GB迁移率。
一般来说,随着GB过剩能量的减少,GB流动性和GB迁移的驱动力都会降低。因此,将低能GBs引入NC材料成为稳定纳米结构的关键策略。根据Gibbs吸附等温线,外来元素在GBs的偏析可以降低界面能,因而降低了驱动力并阻止了GB运动。例如,GBs处的Zr偏析可以稳定 NC Fe-Zr的微观结构。尽管在一定程度上晶界处的溶质分离可以提高NC合金的热稳定性,当纳米晶体的尺寸非常小时,它们仍然可能是不稳定。此外,随着GB合金化程度的提高,形成第二相的趋势增加,限制了GB偏析。这可以在许多超细晶粒铝合金中看到,其中在高温下由于GBs处富溶质颗粒的沉淀可能会出现明显的晶粒粗化现象。
提高纳米晶金属稳定性的另一个重要策略是引入具有固有低过剩能量的GB,例如孪晶界和低角晶界。这样,GB的流动性和GB迁移的驱动力可以有效减少。除了这些方法,通过与部分位错的相互作用将GBs松弛到低能状态提供了一种生成低能GBs的替代方法。分子动力学模拟表明,当晶粒尺寸小于位错分裂距离时,一些面心立方金属的支配变形机制可能从完全位错活动转变为部分位错活动。随后,初始晶界可能解离成由堆垛层错连接的低能边界,增强了热稳定性。我们报道了纯铜、镍和铝的热稳定性通过使用低温塑性变形反转到临界尺寸以下。2考虑到合金元素可能在 GB 处偏析并影响层错能,研究与合金元素相关的晶界松弛过程很有意义,这可能对热稳定性和偏析行为产生重大影响。
中国科学院金属研究所卢柯院士团队通过在纳米尺度上利用晶界松弛来强化Al-Mg合金。利用Al-5Mg合金在非常高应变速率下的低温塑性变形,成功地诱导高密度GBs松弛进入低能态,形成了成分消耗,而不是分离。所得纳米晶Al-5Mg合金具有高硬度和优异的热稳定性,克服了普通铝二元合金在强度和热稳定性之间的平衡。相关研究成果以题为“Thermally stable nanostructured Al-Mg alloy with relaxed grain boundaries”发表在金属顶刊Acta Materialia上。
全文链接:https://www.sciencedirect.com/science/article/pii/S1359645422000246
通过在非常高的应变率下进行低温塑性变形,可以在 Al-5Mg 合金中产生依赖于深度的梯度微观结构。10 μm 厚的顶表层被细化成平均横向尺寸为 31 nm 的细长纳米颗粒。随着深度的增加,晶粒尺寸逐渐增加。几种类型的 CSL 边界在纳米晶粒中形成层,在 HAADF-STEM 下观察到原子平面段的长度有几到几十的纳米。当晶粒尺寸低于临界值时,推断CSL边界是通过从GBs发射部分位错形成的。GBs 处的Mg 浓度取决于晶粒尺寸,随着晶粒尺寸减小到纳米级,GBs 处的Mg 浓度下降。对于 31 nm 的纳米晶粒,GBs 处的 Mg 浓度约为晶格中浓度的一半。晶格畸变分析表明,这种异常现象的发生归因于低能Σ边界的形成及其附近的压缩应变。
图1所示为制备的SMGT的组织和取向角分布Al-Mg试样:(a) SMGT Al-5Mg试样的典型SEM剖面图;亮场透射电镜图像显示了地下不同深度的显微组织处理表面:(b) 7μm,(c) 95μm,(d) 150μm;箭头表示剪切方向;(e)纳米粒和纳米粒取向角分布比较深度分别为7μm和95μm的Al-5Mg晶粒。
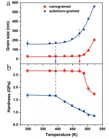
图2所示为所制备的 SMGT Al-5Mg 样品的横向晶粒尺寸和维氏硬度随表面深度的变化。
图3所示为高分辨率 HAADF-STEM 图像显示了典型的Σ边界,光束方向沿所制备的纳米晶粒Al-5Mg合金的<110>:(a)Σ3,(b)Σ9,和(c)Σ11边界。
图4所示为所制备的纳米晶粒结构在深度为7 μm处的HAADF-STEM图像(a)和元素映射(b);(c) 沿 (b) 中的白色箭头对 Al 和 Mg 浓度进行线扫描,显示晶界处明显的 Mg 耗尽;所制备的亚微米的 HAADF-STEM 图像 (d) 和在深度为95μm颗粒结构的元素映射 (e) ;(f) 沿 (e) 中的白色箭头对 Al 和 Mg 浓度进行线扫描。
图5所示为(a)GBs 处 Mg 浓度随所制备样品中晶粒尺寸的变化;(b)在制备的纳米晶粒和亚微米晶粒样品中的随机晶界中,Mg消耗的晶界处的Mg浓度的统计分布。
通过在不同温度下退火30分钟,检测了表层纳米颗粒和约95 um深度的亚表层亚微颗粒的热稳定性(平均晶粒尺寸为168 nm,图1c)。当退火温度低于373 K时,这些组织的晶粒尺寸和硬度没有明显变化(图6)。当退火温度超过393 K时,亚微晶粒尺寸明显增大(图6a),硬度下降。在473 K退火时,预期原始的细长晶粒被无位错的等轴晶粒所取代(图7b),平均晶粒尺寸提高到274±40 nm(图6a),硬度从1.67 GPa下降到1.12 GPa(图6b)。而在相同的退火条件下,在473 K以下退火后,纳米晶组织保持稳定(图7),硬度也保持稳定(图6),晶粒粗化温度比亚微晶高约95 K。
图6所示为(持续时间为 30 分钟)纳米颗粒的晶粒尺寸和维氏硬度的变化和亚微晶粒层作为退火温度的函数
图7所示为在 473 K 退火 30 分钟的 SMGT Al-5Mg 样品的纳米晶粒 (a) 和亚微米晶粒 (b) 的典型明场横截面TEM图像
图8所示为(在473 K,30 分钟条件下)对于所制备和退火的 SMGT Al-5Mg 样品,晶粒尺寸 (a) 和维氏硬度 (b) 随距离表面深度的变化,在 (b) 中也显示了CG 的硬度,以进行比较CG 的硬度(如图所示用虚线)。
图9所示为通过不同塑性变形技术加工的纯铝和铝的二元合金的测量晶粒粗化(不稳定性)温度 (Ton) 与硬度的关系。这些包括纯铝, Al-Mn, Al-Ag, Al-Si, Al-Li, Al-Cu和 Al-Mg。
图10所示为在 473 K 退火 30 分钟纳米晶 Al-Mg 合金Σ边界的 HRTEM 图像。
图11所示为所制备的纳米晶Al-5Mg 合金晶界的晶格应变分析:(a)Σ9晶界的高分辨率 HAADF-STEM 图像,光束沿<110>方向;(b)使用LADIA程序定量分析边界附近的晶格应变分布;(c)沿(b)所示黑线从三组数据中平均测量的跨边界晶格应变,在边界附近显示出明显的压缩应变。
由于形成高密度的松弛ΣGBs,纳米结构的 Al-5Mg 合金的硬度为 2.67 GPa,晶粒粗化(不稳定)温度为 488 K。目前的发现揭示了纳米结构材料的新特性,并可能对开发具有定制特性和功能的材料具有广泛的意义。
免责声明:本网站所转载的文字、图片与视频资料版权归原创作者所有,如果涉及侵权,请第一时间联系本网删除。
相关文章
官方微信
《中国腐蚀与防护网电子期刊》征订启事
- 投稿联系:编辑部
- 电话:010-62316606-806
- 邮箱:fsfhzy666@163.com
- 中国腐蚀与防护网官方QQ群:140808414
点击排行
PPT新闻
“海洋金属”——钛合金在舰船的
点击数:7513
腐蚀与“海上丝绸之路”
点击数:6012















