导读:近日,中科院金属所卢柯院士团队通过表面机械轧制处理(SMRT)在316L不锈钢上预先形成了梯度纳米结构(GNS)表面层,然后在700°C的温度下进行了退火,使得其强度-延展性的协同作用得到增强,而GNS层中的晶粒尺寸和硬度保持相当稳定。此外,退火后在GNS表面层中发现了显著的Cr富集,从而显著增强了耐腐蚀性。这项工作为开发一种简单热机械方法生产具有高力学性能和耐腐蚀性的不锈钢提供了新的方向。
包括316L和304在内的奥氏体不锈钢被广泛用作石油化学,交通运输,超临界动力和核电站等行业的结构材料,主要是由于它们的高比强度,延展性、断裂韧性和出色的耐腐蚀性。
通过细化微观结构的各种技术已被应用于改善奥氏体不锈钢的机械性能。例如,在以77 K进行强冷轧,然后进行退火处理后制得的超细晶粒样品中,喷射成形316L钢的屈服强度提高到1280 MPa。通过等通道角挤压(ECAP)将晶粒尺寸细化为10-40 nm,316L钢的屈服强度提高到1480 MPa。不幸的是,传统的微结构细化工艺通常会导致强度-延展性的背离,即强度的增加是以延展性或韧性为代价的。近年来,人们开发了一些梯度变形方法,通过形成梯度纳米结构来避免材料在强度-延展性之间的权衡困境,这通常可以提高材料的强度并抑制变形时材料的应变局部化。例如,在通过表面机械磨损处理(SMAT)生产的梯度孪晶304钢样品中,获得了1012 MPa的极限强度和54%的断裂伸长率,相对于粗加工,韧性提高了50%。
由于奥氏体不锈钢的耐腐蚀性很重要,因此GNS表面层对其腐蚀行为的影响也得到了广泛研究。然而,与CG相比,GNS样品观察到多种结果,这主要是由于化学成分、制备途径和环境等因素影响纳米结构材料的表面吸附,溶解,钝化膜形成等。到目前为止,GNS表面层的形成以及随后的退火处理对奥氏体不锈钢的腐蚀行为的影响仍存在争议。考虑到表面粗糙度,微观结构,化学成分和相等因素,进行详细的研究将有助于从根本上彻底了解GNS奥氏体钢的腐蚀行为。
在此,中科院金属所卢柯院士团队通过新开发的表面机械轧制处理(SMRT),在316L不锈钢上成功生产了GNS表面层。与SMAT和超声喷丸等其他表面塑性变形方法相比,SMRT获得了更厚(?1 mm)和更均匀的结构细化的GNS层,同时具有更光滑的表面(Ra <0.20μm),从而实现了拉伸和疲劳性能增强显著。将退火处理前后的SMRT样品与CG样品的腐蚀和力学性能进行了比较。GNS表面层显示出良好的热稳定性,并增强了退火SMRT样品的强度-延展性协同作用。在700°C退火的SMRT样品中,屈服强度为?310 MPa,均匀伸长率为?55%。相比之下,原样的CG样品的屈服强度和均匀伸长率分别为?210 MPa和62%,同时耐蚀性也得到了极大提高。相关研究成果以题“Enhanced mechanical properties and corrosion resistance of 316L stainless steel by pre-forming a gradient nanostructured surface layer and annealing”发表在金属顶刊Acta Materialia上。
论文链接:
https://doi.org/10.1016/j.actamat.2021.116773

在室温下,通过SMRT在316L奥氏体不锈钢上生产出GNS表面层,其晶粒大部分为DIM,顶表面的平均尺寸约为40 nm。在700°C下退火20分钟后,显微组织反向转变为平均尺寸为?150 nm的奥氏体晶粒,并析出一些富铬的M23C6。

图1。(a)as-SMRT样品中表面层的明场和(b)暗场TEM图像。

图2。在700°C退火之前和之后,SMRT样品表面层的XRD轮廓(分别为SMRT和SMRT700)。

图3。(a)SMRT700样品中顶表面层的明场TEM图像。(a)中的插图显示了相应的SAED模式,从中圈出了奥氏体(b)和碳化物(c)的暗场图像。
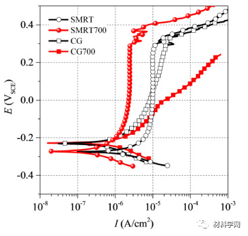
通过在3.5%NaCl水溶液中的电位极化曲线评估了700℃退火前后SMRT和CG样品的腐蚀性能。如预期的那样,所有样品都表现出具有宽被动范围的被动行为。与在NaCl介质中的CG样品相比,在700°C退火的GNS样品上316L不锈钢的耐蚀性得到了显着提高,而在未经退火的GNS样品上未观察到耐蚀性的显著变化。退火的GNS样品增强的耐蚀性与较高的表面Cr浓度和敏化的愈合有关。

图4。在700°C退火前后,SMRT和CG样品的电位动力学极化曲线。在3.5重量%的NaCl溶液中进行测试。在腐蚀测试之前,立即应用阴极清洁工艺清洁样品表面的氧化物。
如图5(a)所示,SMRT样品的显微硬度在顶表面达到?4.3 GPa,并在?1000μm的深度逐渐降低至基体值(?1.5 GPa)。在700°C退火后,SMRT700样品的表层显微硬度略有降低,但仍远高于样品内部的显微硬度。这与SMRT样品强度的提高是一致的。如图5所示(b),尽管退火后SMRT样品的屈服强度从约370 MPa降低至约310 MPa,但仍远高于CG样品(约210 MPa)。此外,SMRT样品在退火前后均保持了显著的拉伸延展性。as-SMRT和SMRT700样品的均匀伸长率分别约为52%和55%。相比之下,在收到的CG样品中,该值为62%。

图5。(a)在700°C退火前后,SMRT样品的显微硬度深度分布和(b)拉伸曲线。还比较了CG样品的显微硬度分布和拉伸曲线。

图6。在700°C退火前后,SMRT和CG样品中(a)通过SIMS测量的Cr和(b)XPS测量的(b)Cr 3+的深度分布曲线。
在700°C退火后,退火的SMRT样品的表面层中出现了显着的Cr富集,厚度约为100 nm。讨论认为这是由与Cr的表面偏析相关的自由能降低所引起的热力学驱动,与其他元素相比,Cr的表面偏析具有更低的表面能和更强的原子间相互作用。GNS表面层中存在大量的GBs和GB /表面结,这不仅通过吸引Cr原子降低GB能量,而且通过提高扩散速率来促进了偏析过程。

图7。(a)横截面明场TEM图像和(b)SMRT700样品表面层中Cr,Ni和Fe的分布。在图8中通过HAADF-STEM观察到在(a)中以I和II标记的区域。

图8。(a)HAADF-STEM图像,(b)原子分辨率STEM图像,(c)图7(a)中标记的CER I的对应FFT模式。(d,e,f)显示了图7(a)中标记的CER II的那些。


图9(a)SMRT700样品中上表面层的HAADF-STEM图像,以及(b)跨越(a)中标记的2个不同GB的Cr曲线。沿(b)中每个轮廓的虚线显示了通过EDS在奥氏体基体中测得的平均Cr浓度(?18.3 at。%)作为参考。

图10(a)CG和(c)SMRT样品在700°C退火的表面层中包含M23C6颗粒的区域的典型明场TEM图像。(b)和(d)分别显示了沿(a)和(c)标记的虚线的元素分布。(b)中的红色箭头表示Cr贫化区。
免责声明:本网站所转载的文字、图片与视频资料版权归原创作者所有,如果涉及侵权,请第一时间联系本网删除。
相关文章
官方微信
《中国腐蚀与防护网电子期刊》征订启事
- 投稿联系:编辑部
- 电话:010-62316606-806
- 邮箱:fsfhzy666@163.com
- 中国腐蚀与防护网官方QQ群:140808414
点击排行
PPT新闻
“海洋金属”——钛合金在舰船的
点击数:7130
腐蚀与“海上丝绸之路”
点击数:5741



