航空发动机服役环境极为苛刻,包括高温氧化、水氧腐蚀、粒子冲蚀等多重因素耦合作用。针对未来航空发动机陶瓷基复合材料热端部件环境障涂层,其主要面临环境腐蚀物侵蚀的挑战。目前,环境障涂层通常采用大气等离子喷涂、等离子喷涂-物理气相沉积方法来制备,但鉴于其沉积机理,涂层中避免不了存在少量的开孔及裂纹,这就为环境中的腐蚀介质提供了渗透路径,造成涂层失效。
来自广东省科学院新材料研究所与西安交通大学的研究人员合作,提出了压渗熔融铝的方法来封堵涂层中的开孔及微裂纹,重点从热力学角度分析了熔融铝在孔隙中浸渗的困难性。结果表明,通过控制外压可获得良好的浸渗效果,这一研究结果有望为制备高致密环境障涂层提供新思路。相关论文以题为“Infiltrationthermodynamics in wrinkle-pores of thermal sprayed coatings”发表在Applied Surface Science (董琳为第一作者、刘梅军和张小锋为通讯作者)。
论文链接:https://www.sciencedirect.com/science/article/pii/S0169433220336060


图 TBCs的截面组织
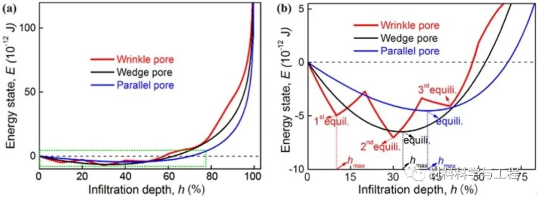
该研究首先基于真实涂层的复杂孔隙结构建立了开放孔隙几何模型——“褶皱孔”,以及熔体浸渗的物理模型和数学模型。通过数学模型计算获得了熔体能量随浸渗深度的变化规律,发现在浸渗过程中熔体能量出现多个平衡态,只有克服平衡态之后的能垒,熔体才能继续浸渗。进而通过计算驱动力、分力等,得知外压降低能量、驱动浸渗,内压升高能量、阻碍浸渗,而造成能垒的主要因素是弯曲液面附加压即毛细力,如图1所示。

图1 三种模型浸渗能量曲线
毛细力的决定性因素包括孔隙的几何结构(孔宽和孔壁倾角)和熔体的润湿特性(接触角)。其中,孔隙结构中的扩张结构、熔体不良的润湿性是造成毛细力阻碍浸渗的主要原因。但人为调控孔隙几何和熔体在不均匀材料表面的润湿性较难实现。研究过程中发现,除了毛细力,内、外压也同样影响浸渗行为,因此计算了升高外压、同时降低内压的方法对能量的影响,得知该法降低能量、克服能垒、提高浸渗深度理论上可行,而且这种调控外压和内压的方法在实践中比较容易实施,如图2所示。

图2 内、外压力的变化对驱动力及能量曲线的影响规律
综上所述:涂层中复杂、不规则的孔隙结构是造成熔体自发浸渗困难的主要因素之一。通过调节孔隙内外压力的方法能够在一定程度上克服由孔隙扩张结构和润湿性差引起的浸渗阻力,该方法应用于调控熔体在复杂孔隙内的浸渗深度具有热力学可行性。
免责声明:本网站所转载的文字、图片与视频资料版权归原创作者所有,如果涉及侵权,请第一时间联系本网删除。
官方微信
《中国腐蚀与防护网电子期刊》征订启事
- 投稿联系:编辑部
- 电话:010-62316606-806
- 邮箱:fsfhzy666@163.com
- 中国腐蚀与防护网官方QQ群:140808414



